This is an extract of an article presented at the 2016 Hydropower conference. It is a collaboration between Ms. Lamis Aljounaidi, M. Sebastien Jobard, Ms. Alice Lecocq, M. Charles Ado, Ms. Afua Adwabi Thompson
The Volta River Authority (VRA) is studying the Pwalugu Multipurpose Dam Project (PMDP) on the White Volta River in Ghana.
The PMDP is intended to contribute to the economic development of Northern Ghana by several means:
- Generating power to be injected on the Northern end of the national grid;
- Developing the irrigation potential of the White Volta plains;
- Developing other economic activities on the reservoir, such as fishery;
- Mitigating floods downstream of the dam.
The present paper focuses on the methodology developed to evaluate the economic benefits of Pwalugu Dam in regards to flood mitigation. This methodology was designed to provide decisional elements at a feasibility stage within the framework of the overall project.
The Project
Pwalugu Dam site is located on the White Volta River, approximately 30 km Southwest of Bolgatanga, across the Upper East Region and the Northern Region of Ghana.
Pwalugu Dam is planned to be a 50-metre high dam. The selection of the dam height was based on a cost-benefit analysis mainly driven by the projectβs energy generation purpose. The water supply requirement for the project irrigation scheme is satisfied by the planned water release of the turbines during normal operations.
Partly taking into account the flood mitigation purpose, Pwalugu Dam was designed with a gated spillway to allow for the control of the water releases downstream.
The mean energy generated by the PMDP hydropower scheme is estimated to 209 GWh/yr for an installed capacity set at 70 MW. The irrigation scheme considered under the PMDP consists in the development of 20,000 Ha via gravity irrigation. The scheme is planned to draw down water from the White Volta River via a weir located 50 kilometers downstream of Pwalugu Dam.
Scenarios Assessed
In order to evaluate the benefits of flood mitigation from the project, hydraulic simulations were carried out to estimate the flooded area downstream of Pwalugu Dam for particular flood events.
Three following scenarios were studied:
- Scenario 0: baseline scenario assessing present situation before the construction of Pwalugu Dam,
- Scenario 1: assessing the situation with Pwalugu Dam without operating rules dedicated to flood management,
- Scenario 2: Pwalugu Dam with operating rules dedicated to flood management.
Approach to the economic evaluation of the benefits of flood mitigation
The economic benefits generated by the flood mitigation component of the PMDP were assessed by comparing, for each scenario, costs related to flood mitigation to benefits derived from it.
Benefits of flood mitigation comprise savings generated by the prevention of physical damages and net revenues derived from agriculture development in the protected areas.
Costs are limited to energy lost when using the Operating Rule (dedicated to flood mitigation) rather than an energy maximizing rule (scenario 2).
Economic evaluation of the physical damages incurred by flooding
The first step consisted in characterizing the economic physical damages associated with several floods in order to draw a relation between the economic value of damages and the frequency of the flood event.
The physical damages valued for the PMDP mainly consisted in lost crops, damages to households and industrial and public infrastructures. These damages were assessed in detail using GIS data and flood propagation models.
The physical damages were evaluated for the 2, 5, 10 and 100-year floods referring to the flooded areas derived from detailed hydraulic simulations.
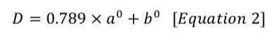
Making the assumption that the value of damages increases logarithmically with the increase of the return period, the value of damage ππ for all return period floods i was computed:
ππ = π0 Γ ln(π) + π0 [πΈππ’ππ‘πππ 1]

Such relation was established for the three studied scenarios.

The second step of the evaluation consisted in assigning an annual value of damages, considering a statistical approach relating the value of damages resulting from flooding events to the occurence of these events.
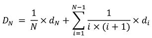
By definition, every year, there is a chance of 1/i to encounter a i-year flood or stronger. For a given year, the expected value of damages resulting from all floods with a return period equal to or lower than N is:

The equation above is equivalent to:

When N tends to infinity, the expected value of damages from all floods for a given year is computed considering Equation 1:

Which comes to :

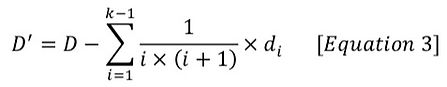
This equation imperfectly accounts for return periods for which no damages are incurred. This is corrected as follows :

where k is the lowest return period for which the value of damages is positive.
Considering the above, the model evaluates the annual damages to 1.2 M$ in scenario 0, 0.4 M$ in scenario 1 and 0.1 in scenario 2.
Economic assessment of benefits derived from agriculture development
The construction of the dam (scenario 1) and the application of Operating Rules (scenario 2) gradually reduce the flooded area as compared to the baseline scenario (scenario 0). Such flood mitigation capability represents an opportunity for farmers to settle and cultivate lands in areas regularly flooded under scenario 0. It was assumed that, with a protection from the 15-year flood, farmers will choose to develop the area.
As a result, the area valued for agriculture increases from 23% to 50% when protected from recurring floods. The net benefit of agriculture development was assessed at 2500 $/Ha, based on a detailed assessment of cropping patterns and market prices. Damages resulting from residual floods were also taken into account in the assessment.
Economic assessment of costs related to energy loss
The energy losses induced by the application of the Operating Rule were estimated as the sum of two contributions:
- The loss of the net energy generated at Pwalugu Dam.
- The increase of transmission losses with the assumption that the above loss is covered by a power source located in Southern Ghana.
An economic value of energy of 16.9 $cts/kWh was used for this exercise. This economic value was based on the costs of alternative energy generation sources, the economic value of reduced emissions and other economic benefits including reduced particle pollution, energy independence and cost stability.
Pwalugu Dam economic valorisation of the benefits of flood mitigation
The annual benefits of scenarios 1 and 2 over the baseline scenario 0 taken as reference were derived in the PMDP case study. These benefits were respectively valued to a total of 2.2 and 6.9 M$.
The application of simple Operating Rules multiplies by more than three the overall benefits of the flood mitigation component of the project.
Discussion on the methodology
The methodology presented for the evaluation of the flood mitigation benefits results from a close collaboration between economists, hydrologists and hydraulic engineers. Results of the assessment are particularly relevant because they are based on good quality data.
Entry data used in the model results from an extensive phase of data collection and processing. For instance, a bathymetric survey and long series of hydrologic data were instrumental to assess areas affected by flooding events, while GIS data was crucial in precisely quantifying affected infrastructures and buildings. An extensive survey of soil quality, farming practices and market price of farming entrants and produce was used to assess the benefits of farming in flood protected areas.
Building on this extensive preliminary phase, the statiscal model developed allows for a time effective evaluation of a number of scenarios, which is pertinent for a feasibility level assessment. The overall costs of the data collection and processing phase are justified by the need to inform an investment decision with several hundred millions at stake.
The methodology presented above would thus be particularly useful to assess dam projects where flood mitigation is one of the main drivers of the project selection. It would however be too costly for projects where flood mitigation benefits are expected to be minor.